|
Stoffbeschreibung:
 |
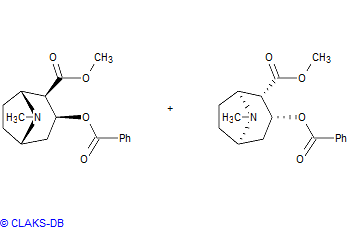
Summenformel: | C17H21NO4 |
Molmasse: | 303.353 g/mol |
Stoffname(n): | 8-Azabicyclo[3.2.1]octane-2-carboxylic acid, 3-(benzoyloxy)-8-methyl-, methyl ester, (exo,exo)-(±)-
|
Stoffregistrierungen:
Stoffeigenschaften und Regularien:
Derivat | reines Enantiomer: Cocain | |
| Schmelzpunkt | 79.5 °C | |
| Zustand | 100 fest | |
SciDex 1.0 HTML Export / Alle Daten sind sorgfältig geprüft - trotzdem kann keine Gewähr für die Richtigkeit der Daten übernommen werden.
All rights reserved 2016 © LCI-Publisher, Springer-Verlag, V. Vill
File created: 15:48:00 04-27-2016
|