Universitaet Hamburg Fachbereich Chemie

...

Stoffbeschreibung:

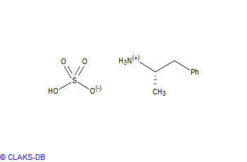
Summenformel:C9H15NO4S
Molmasse:233.285 g/mol
Stoffname(n):d-Amphetamine H2SO4

Stoffregistrierungen:

CAS-RN:17279-36-6 
Produkt-Nummern:5 verschiedene (nicht im Web angezeigt)

Stoffeigenschaften und Regularien:

DerivatBase: Dexamfetamin 
 
Internationale Regelung UN-psycho
       KurzSubstances under control: Schedule II 
       Eintragdexamphetamine 
 
Betäubungsmittelgesetz (BtMG)
       KlasseIII15. BtMÄndV
       Textverkehrsfähige und verschreibungsfähige Betäubungsmittel 
       Verordnung15. BtMÄndV / 19. Juni 2001 
       EintragINN Dexamfetamin 
       GrundstrukturAmfetamin 

Referenzen und Quellen:

15. BtMÄndV
Short: 15. BtMÄndV
Title: Fünfzehnte Verordnung zur Änderung betäubungsmittelrechtlicher Vorschriften vom 19. Juni 2001
Author: Bundesministerium für Gesundheit
Source: Bundesgesetzblatt
Volume: Teil I Nr. 28
Page: 1180-1200
Year: 2001
DocType: Legal_Document
Publish_Date: 25.06.2001
UN-psycho
Short: UN-psycho
Title: Resolutions adopted by the united nations conference for the adoption of a convention on psychotropic substances
Author: United Nation
Year: 1971
DocType: Legal_Document

SciDex 1.0 HTML Export / Alle Daten sind sorgfältig geprüft - trotzdem kann keine Gewähr für die Richtigkeit der Daten übernommen werden.
All rights reserved 2016 © LCI-Publisher, Springer-Verlag, V. Vill
File created: 15:47:48 04-27-2016

Seiteninfo: Impressum | Letzte Aktualisierung am 17. März 2008 durch Schmidt

Blättern: Seitenanfang